An elementary mathematical theorem in hypertext form

Problem 2

Hint 1.1.1

Hint 1.2.1

Hint 1.3.1.1

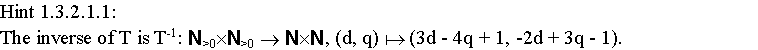
Hint 1.3.2.1.2


Back to the starting page