Ein elementarer mathematischer Satz als Hypertext-Dokument

Aufgabe 2

Hinweis 1.1.1

Hinweis 1.2.1

Hinweis 1.3.1.1

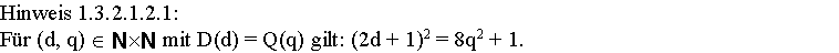
Hinweis 1.3.2.1.3

Hinweis 1.3.2.1.2.2


Zurück zur Startseite